Running SMIET with CoREAS simulations

This example notebook will show how you can run SMIET comparing with CoREAS simulated showers.

from smiet import SMIETRun, units
import numpy as np

import os  # to configure paths for coreas simulations
import matplotlib.pyplot as plt  # for plotting routines

Setting up paths

The following paths need to be provided:

  • the path to where you store the templates

  • the path where you store the coreas simulations

path_to_templates = "/home/kwatanabe/Projects/radio-ift/radio_resources/template_synthesis/origin_library/templates"
path_to_coreas_sims = "/home/kwatanabe/Projects/radio-ift/radio_resources/lofar/hdf5_sims/62804598/0/proton"

Initializing the object

The SMIETRun object is initialized with the following: - site : the site in which we perform the synthesis. Currently, base, lofar, and auger are supported, with more to come! - backend : this allows you to choose whether to run smiet with the numpy backend (recommended!) or with jax (currently disabled as it is not yet tested).

Under the hood, the numpy or jax version of smiet will be loaded with the given site parameters fixed.

smiet_runner = SMIETRun(
    site="base", backend="numpy"
)

Loading the templates

Here, all necessary templates which will be used for the analysis can be loaded. To load the templates, provide the repository in which the templates are located in template_repo.

We give the option to provide a range of xmax and zenith values in which the templates should be loaded, to avoid load unnecessary values of Xmax or zenith angles. This can be performed by giving: - a tuple of (xmax_min, xmax_max) in xmax_range - a tuple of (zenith_min, zenith_max) in zenith_range If nothing is provided, then the full range of available templates will be loaded instead.

Additionally, with the randomize argument set to True, one of the simulated origin showers from the configuration will be selected at random. If set to False, the first one will always be selected.

# load templates
smiet_runner.load_templates(
    template_repo = path_to_templates,
    xmax_range = (600, 1200),
    zenith_range = (40, 46),
    randomize = False
)

Note that the properties of the origin showers can be extracted using smiet_runner.origin_properties().

Alternatively, the xmax and zenith values for the origin shower are given by smiet_runner.origin_xmaxs and smiet_runner.origin_zeniths respectively.

print(smiet_runner.origin_xmaxs, smiet_runner.origin_zeniths)
[ 578.88  634.83  708.61  718.95  797.03  798.17  874.47  898.24  957.28
  988.08 1076.1  1141.4  1207.6  1211.5 ] [42. 45. 42. 45. 42. 45. 42. 45. 42. 45. 45. 42. 45. 42.]

Generating target showers from CoREAS simulations

Here we will load coreas showers from a given coreas shower repository. This should contain a set of simulated showers that vary in shower properties. However the site must be the same (magnetic field, atmosphere etc).

One can also load a single CoREAS simulation directly, but it must be contained as a list.

smiet_runner.load_coreas_showers(
    coreas_shower_paths = [
        os.path.join(path_to_coreas_sims, filepath)
        for filepath in os.listdir(path_to_coreas_sims)
    ]
)
2025-11-25 11:25:47 - WARNING - smiet.numpy.io.CoreasShower - __init__ - Setting core z-coordinate to be observation level at 7.6000000000000005 m.
2025-11-25 11:25:47 - WARNING - smiet.numpy.io.CoreasShower - __init__ - Setting core z-coordinate to be observation level at 7.6000000000000005 m.
2025-11-25 11:25:47 - WARNING - smiet.numpy.io.CoreasShower - __init__ - Setting core z-coordinate to be observation level at 7.6000000000000005 m.
2025-11-25 11:25:47 - WARNING - smiet.numpy.io.CoreasShower - __init__ - Setting core z-coordinate to be observation level at 7.6000000000000005 m.
2025-11-25 11:25:47 - WARNING - smiet.numpy.io.CoreasShower - __init__ - Setting core z-coordinate to be observation level at 7.6000000000000005 m.
2025-11-25 11:25:47 - WARNING - smiet.numpy.io.CoreasShower - __init__ - Setting core z-coordinate to be observation level at 7.6000000000000005 m.
2025-11-25 11:25:47 - WARNING - smiet.numpy.io.CoreasShower - __init__ - Setting core z-coordinate to be observation level at 7.6000000000000005 m.
2025-11-25 11:25:47 - WARNING - smiet.numpy.io.CoreasShower - __init__ - Setting core z-coordinate to be observation level at 7.6000000000000005 m.
2025-11-25 11:25:47 - WARNING - smiet.numpy.io.CoreasShower - __init__ - Setting core z-coordinate to be observation level at 7.6000000000000005 m.
2025-11-25 11:25:47 - WARNING - smiet.numpy.io.CoreasShower - __init__ - Setting core z-coordinate to be observation level at 7.6000000000000005 m.
2025-11-25 11:25:47 - WARNING - smiet.numpy.io.CoreasShower - __init__ - Setting core z-coordinate to be observation level at 7.6000000000000005 m.
2025-11-25 11:25:47 - WARNING - smiet.numpy.io.CoreasShower - __init__ - Setting core z-coordinate to be observation level at 7.6000000000000005 m.
2025-11-25 11:25:47 - WARNING - smiet.numpy.io.CoreasShower - __init__ - Setting core z-coordinate to be observation level at 7.6000000000000005 m.
2025-11-25 11:25:47 - WARNING - smiet.numpy.io.CoreasShower - __init__ - Setting core z-coordinate to be observation level at 7.6000000000000005 m.
2025-11-25 11:25:47 - WARNING - smiet.numpy.io.CoreasShower - __init__ - Setting core z-coordinate to be observation level at 7.6000000000000005 m.
2025-11-25 11:25:47 - WARNING - smiet.numpy.io.CoreasShower - __init__ - Setting core z-coordinate to be observation level at 7.6000000000000005 m.
2025-11-25 11:25:47 - WARNING - smiet.numpy.io.CoreasShower - __init__ - Setting core z-coordinate to be observation level at 7.6000000000000005 m.
2025-11-25 11:25:47 - WARNING - smiet.numpy.io.CoreasShower - __init__ - Setting core z-coordinate to be observation level at 7.6000000000000005 m.
2025-11-25 11:25:47 - WARNING - smiet.numpy.io.CoreasShower - __init__ - Setting core z-coordinate to be observation level at 7.6000000000000005 m.
2025-11-25 11:25:47 - WARNING - smiet.numpy.io.CoreasShower - __init__ - Setting core z-coordinate to be observation level at 7.6000000000000005 m.
2025-11-25 11:25:47 - WARNING - smiet.numpy.io.CoreasShower - __init__ - Setting core z-coordinate to be observation level at 7.6000000000000005 m.

Similar to the origin showers, the properties of the target showers can be extracted using smiet_runner.target_properties().

The xmax and zenith values for the target showers are given by smiet_runner.target_xmaxs and smiet_runner.target_zeniths respectively.

print(smiet_runner.target_xmaxs, smiet_runner.target_zeniths)
[586.69 899.13 724.77 801.9  683.5  744.78 688.34 708.7  836.44 770.02
 866.61 696.77 719.65 706.1  698.69 701.83 613.83 649.1  719.11 681.9
 681.  ] [42.76506464 42.76506464 42.76506464 42.76506464 42.76506464 42.76506464
 42.76506464 42.76506464 42.76506464 42.76506464 42.76506464 42.76506464
 42.76506464 42.76506464 42.76506464 42.76506464 42.76506464 42.76506464
 42.76506464 42.76506464 42.76506464]

Synthesising the showers

As with the example with target showers, one can easily synthesize showers with a single command.

smiet_runner.synthesize_showers()
2025-11-25 11:25:47 - WARNING - smiet.numpy.synthesis.TemplateSynthesis - map_template_to_slices - Target zenith angle 0.7463911828415821 is larger than the template zenith angle 0.7330382858376184. This will probably lead to the last slices not being synthesised. 
2025-11-25 11:25:55 - WARNING - smiet.numpy.synthesis.TemplateSynthesis - map_template_to_slices - Target zenith angle 0.7463911828415821 is larger than the template zenith angle 0.7330382858376184. This will probably lead to the last slices not being synthesised. 
2025-11-25 11:26:01 - WARNING - smiet.numpy.synthesis.TemplateSynthesis - map_template_to_slices - Target zenith angle 0.7463911828415821 is larger than the template zenith angle 0.7330382858376184. This will probably lead to the last slices not being synthesised. 
2025-11-25 11:26:06 - WARNING - smiet.numpy.synthesis.TemplateSynthesis - map_template_to_slices - Target zenith angle 0.7463911828415821 is larger than the template zenith angle 0.7330382858376184. This will probably lead to the last slices not being synthesised. 
2025-11-25 11:26:11 - WARNING - smiet.numpy.synthesis.TemplateSynthesis - map_template_to_slices - Target zenith angle 0.7463911828415821 is larger than the template zenith angle 0.7330382858376184. This will probably lead to the last slices not being synthesised. 
2025-11-25 11:26:17 - WARNING - smiet.numpy.synthesis.TemplateSynthesis - map_template_to_slices - Target zenith angle 0.7463911828415821 is larger than the template zenith angle 0.7330382858376184. This will probably lead to the last slices not being synthesised. 
2025-11-25 11:26:22 - WARNING - smiet.numpy.synthesis.TemplateSynthesis - map_template_to_slices - Target zenith angle 0.7463911828415821 is larger than the template zenith angle 0.7330382858376184. This will probably lead to the last slices not being synthesised. 
2025-11-25 11:26:25 - WARNING - smiet.numpy.synthesis.TemplateSynthesis - map_template_to_slices - Target zenith angle 0.7463911828415821 is larger than the template zenith angle 0.7330382858376184. This will probably lead to the last slices not being synthesised. 
2025-11-25 11:26:33 - WARNING - smiet.numpy.synthesis.TemplateSynthesis - map_template_to_slices - Target zenith angle 0.7463911828415821 is larger than the template zenith angle 0.7330382858376184. This will probably lead to the last slices not being synthesised. 
2025-11-25 11:26:38 - WARNING - smiet.numpy.synthesis.TemplateSynthesis - map_template_to_slices - Target zenith angle 0.7463911828415821 is larger than the template zenith angle 0.7330382858376184. This will probably lead to the last slices not being synthesised. 
2025-11-25 11:26:43 - WARNING - smiet.numpy.synthesis.TemplateSynthesis - map_template_to_slices - Target zenith angle 0.7463911828415821 is larger than the template zenith angle 0.7330382858376184. This will probably lead to the last slices not being synthesised. 
2025-11-25 11:26:49 - WARNING - smiet.numpy.synthesis.TemplateSynthesis - map_template_to_slices - Target zenith angle 0.7463911828415821 is larger than the template zenith angle 0.7330382858376184. This will probably lead to the last slices not being synthesised. 
2025-11-25 11:26:54 - WARNING - smiet.numpy.synthesis.TemplateSynthesis - map_template_to_slices - Target zenith angle 0.7463911828415821 is larger than the template zenith angle 0.7330382858376184. This will probably lead to the last slices not being synthesised. 
2025-11-25 11:26:59 - WARNING - smiet.numpy.synthesis.TemplateSynthesis - map_template_to_slices - Target zenith angle 0.7463911828415821 is larger than the template zenith angle 0.7330382858376184. This will probably lead to the last slices not being synthesised. 
2025-11-25 11:27:05 - WARNING - smiet.numpy.synthesis.TemplateSynthesis - map_template_to_slices - Target zenith angle 0.7463911828415821 is larger than the template zenith angle 0.7330382858376184. This will probably lead to the last slices not being synthesised. 
2025-11-25 11:27:10 - WARNING - smiet.numpy.synthesis.TemplateSynthesis - map_template_to_slices - Target zenith angle 0.7463911828415821 is larger than the template zenith angle 0.7330382858376184. This will probably lead to the last slices not being synthesised. 
2025-11-25 11:27:13 - WARNING - smiet.numpy.synthesis.TemplateSynthesis - map_template_to_slices - Target zenith angle 0.7463911828415821 is larger than the template zenith angle 0.7330382858376184. This will probably lead to the last slices not being synthesised. 
2025-11-25 11:27:21 - WARNING - smiet.numpy.synthesis.TemplateSynthesis - map_template_to_slices - Target zenith angle 0.7463911828415821 is larger than the template zenith angle 0.7330382858376184. This will probably lead to the last slices not being synthesised. 
2025-11-25 11:27:26 - WARNING - smiet.numpy.synthesis.TemplateSynthesis - map_template_to_slices - Target zenith angle 0.7463911828415821 is larger than the template zenith angle 0.7330382858376184. This will probably lead to the last slices not being synthesised. 
2025-11-25 11:27:31 - WARNING - smiet.numpy.synthesis.TemplateSynthesis - map_template_to_slices - Target zenith angle 0.7463911828415821 is larger than the template zenith angle 0.7330382858376184. This will probably lead to the last slices not being synthesised. 
2025-11-25 11:27:37 - WARNING - smiet.numpy.synthesis.TemplateSynthesis - map_template_to_slices - Target zenith angle 0.7463911828415821 is larger than the template zenith angle 0.7330382858376184. This will probably lead to the last slices not being synthesised. 

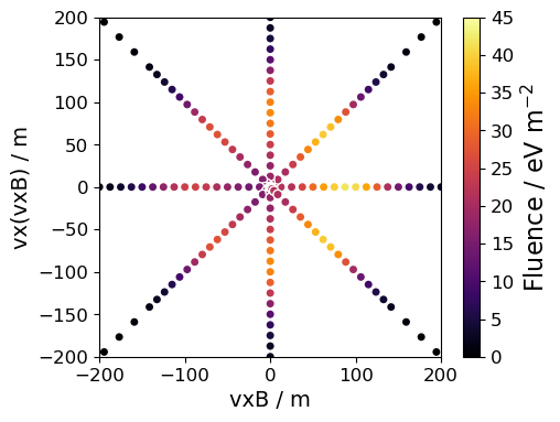
Extracting Synthesised quantities

As before, the traces, spectra, and fluences can be extracted with the same functionalities.

ant_name = "ant_r2_phi270"
target_xmax_to_get, target_zeniths_to_get = smiet_runner.target_xmaxs[1], smiet_runner.target_zeniths[1]
traces_geoce, times, _ = smiet_runner.get_traces(xmax=target_xmax_to_get, zenith=target_zeniths_to_get, ant_name=ant_name, geoce=True)
2025-11-25 11:27:39 - WARNING - smiet.core.SMIETRun - get_traces - Traces were only synthesised at ground level. Ignoring provided slice_grammage and returning ground level traces.
fig, ax = plt.subplots(2,1, figsize=(6,8))
ax[0].plot(times[:] / units.ns, traces_geoce[0,:] / (units.micro  * units.volt / units.m))
ax[1].plot(times[:] / units.ns, traces_geoce[1,:] / (units.micro  * units.volt / units.m))
ax[1].set_xlabel("Time [ns]")
ax[0].set_ylabel(r"$E_\mathrm{GEO}$ [μV/m]")
ax[1].set_ylabel(r"$E_\mathrm{CE}$ [μV/m]")

ax[0].set_title(f"Time traces at {ant_name}")
ax[0].grid(True, which="both", ls="--", alpha=0.5)
ax[1].grid(True, which="both", ls="--", alpha=0.5)
../../_images/run_with_coreas_showers_19_0.png
spect_geoce, freq = smiet_runner.get_spectrum(xmax=target_xmax_to_get, zenith=target_zeniths_to_get, ant_name=ant_name, geoce=True)
2025-11-25 11:27:40 - WARNING - smiet.core.SMIETRun - get_traces - Traces were only synthesised at ground level. Ignoring provided slice_grammage and returning ground level traces.
fig, ax = plt.subplots(2,1, figsize=(6,8))
ax[0].plot(freq / units.MHz, np.abs(spect_geoce[0,:]) / (units.micro  * units.volt / units.m / units.MHz))
ax[1].plot(freq / units.MHz, np.abs(spect_geoce[1,:]) / (units.micro  * units.volt / units.m / units.MHz))
ax[1].set_xlabel("Frequency [MHz]")
ax[0].set_xlim(0, 500)
ax[1].set_xlim(0, 500)
ax[0].set_ylabel(r"$\tilde{E}_\mathrm{vxB}$ [μV/m/MHz]")
ax[1].set_ylabel(r"$\tilde{E}_\mathrm{vx(vxB)}$ [μV/m/MHz]")

ax[0].set_title(f"Spectrum at {ant_name}")
ax[0].grid(True, which="both", ls="--", alpha=0.5)
ax[1].grid(True, which="both", ls="--", alpha=0.5)
../../_images/run_with_coreas_showers_21_0.png
fluences, ant_pos = smiet_runner.get_fluence(xmax=target_xmax_to_get, zenith=target_zeniths_to_get, geoce=False)
2025-11-25 11:27:40 - WARNING - smiet.core.SMIETRun - get_traces - Traces were only synthesised at ground level. Ignoring provided slice_grammage and returning ground level traces.
fig, ax = plt.subplots(1,1, figsize=(5,4))
sc = ax.scatter(
    ant_pos[:, 0], ant_pos[:, 1],
    c=fluences,
    cmap='inferno',
    edgecolor='white',
    alpha=1.0,
    vmin=0,
    vmax=45  # modify as needed
)

ax.set_xlabel("vxB / m", fontsize=14)
ax.set_ylabel("vx(vxB) / m", fontsize=14)

ax.set_xlim(-200, 200)
ax.set_ylim(-200, 200)

ax.tick_params(axis='both', which='major', labelsize=12)

cbar = fig.colorbar(sc, ax=ax)
cbar.ax.set_ylabel("Fluence / eV m$^{-2}$", fontsize=16)
cbar.ax.tick_params(labelsize=12)
../../_images/run_with_coreas_showers_23_0.png

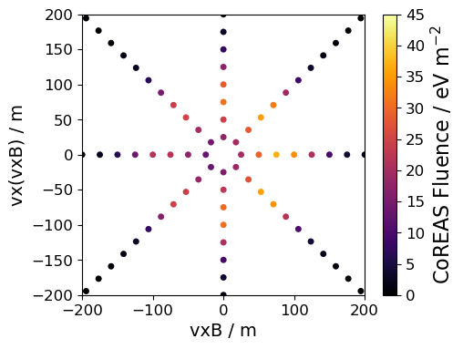
Comparing with CoREAS simulated results

The true traces / spectra / fluence from the CoREAS simulated results can be obtained through smiet_runner.get_truths(). This is a functionality only enabled for CoREAS simulations. The traces are already bandpass filtered to the given frequency range valid for SMIET.

In addition to the target Xmax and zenith angle, the following can be provided: - mode : to either get the traces 'traces', spectrum 'spectrum', or the fluence 'fluence'. Setting with fluence will return the true fluence and antenna positions (in shower plane), while the other options will return the traces (spectrum), times (frequencies) and the antenna positions in shower plane. - geoce : as with the synthesised showers, the quantities can be returned in GEO/CE polarisation of vxB/vx(vxB) polarisation.

The traces and spectra, unlike the synthesised counterpart, will return all antenna positions.

NOTE:

As the antenna positions in CoREAS need not be the same as the ones in the origin shower, a direct trace-by-trace comparison cannot be performed. As such, the positions in CoREAS != synthesised positions.

To perform a direct comparison at this stage, it is best to use the fluence map and visually compare. For a direct trace-to-trace comparison, you can use the cr-pulse-interpolator, which is shown in another example notebook.

spect_coreas, freq_grid_coreas, ant_pos_coreas = smiet_runner.get_truths(xmax=target_xmax_to_get, zenith=target_zeniths_to_get, mode="spectrum", geoce=True)
radial_distances = np.sqrt(ant_pos_coreas[:,0]**2 + ant_pos_coreas[:,1]**2)
ang_distances = np.arctan2(ant_pos_coreas[:,1], ant_pos_coreas[:,0]) * 180 / np.pi
ant_idx = 10  # choose an antenna index to plot

fig, ax = plt.subplots(2,1, figsize=(6,8))
ax[0].plot(freq_grid_coreas / units.MHz, np.abs(spect_coreas[0,ant_idx,:]) / (units.micro  * units.volt / units.m / units.MHz))
ax[1].plot(freq_grid_coreas / units.MHz, np.abs(spect_coreas[1,ant_idx,:]) / (units.micro  * units.volt / units.m / units.MHz))
ax[1].set_xlabel("Frequency [MHz]")
ax[0].set_xlim(0, 500)
ax[1].set_xlim(0, 500)
ax[0].set_ylabel(r"$\tilde{E}_\mathrm{GEO}$ [μV/m/MHz]")
ax[1].set_ylabel(r"$\tilde{E}_\mathrm{CE}$ [μV/m/MHz]")

ax[0].set_title(f"Spectrum from CoREAS at r={radial_distances[ant_idx]:.1f} m, φ={ang_distances[ant_idx]:.1f}°")
ax[0].grid(True, which="both", ls="--", alpha=0.5)
ax[1].grid(True, which="both", ls="--", alpha=0.5)
../../_images/run_with_coreas_showers_27_0.png
fluences_coreas, ant_pos_coreas = smiet_runner.get_truths(xmax=target_xmax_to_get, zenith=target_zeniths_to_get, mode="fluence", geoce=False)
fig, ax = plt.subplots(1,1, figsize=(5,4))
sc = ax.scatter(
    ant_pos_coreas[:, 0], ant_pos_coreas[:, 1],
    c=fluences_coreas,
    cmap='inferno',
    edgecolor='white',
    alpha=1.0,
    vmin=0,
    vmax=45  # modify as needed
)

ax.set_xlabel("vxB / m", fontsize=14)
ax.set_ylabel("vx(vxB) / m", fontsize=14)

ax.set_xlim(-200, 200)
ax.set_ylim(-200, 200)

ax.tick_params(axis='both', which='major', labelsize=12)

cbar = fig.colorbar(sc, ax=ax)
cbar.ax.set_ylabel("CoREAS Fluence / eV m$^{-2}$", fontsize=16)
cbar.ax.tick_params(labelsize=12)
../../_images/run_with_coreas_showers_29_0.png